白酒中98%—99%的成分是乙醇和水,它们构成了白酒的主干,其它1%—2%的成分主要由微量的有机酸、酯、杂醇、醛、酮、含硫化合物、含氮化合物以及极其微量的无机化合物(固形物)等组成,它们决定了白酒的香和味,构成了白酒的典型性和风格。而微量成分(或称风味物质、香味成分)的种类及各微量成分在酒中的含量又与白酒生产所使用的原料、生产工艺及贮存老熟过程密切相关。新蒸馏出的酒的口感具有辣、冲、涩、香暴、糟糠及新酒臭等,但经过一段时期的老熟陈酿后,酒的燥辣刺激感减小,酒体柔和,香气协调,口味醇厚,余味悠长,这正是因为白酒在贮存过程中发生了复杂的物理化学变化,改变了白酒中微量成分的组成和比例,从而提高了白酒的口感质量,保证了酒体的稳定性。
一、白酒中微量成分的分类
白酒中微量成分的种类十分复杂和繁多,在我国三大主要香型白酒中,酱香型酒中有963个色谱峰,可定性的有873个;浓香型酒中有674个色谱峰,可定性的有342个;清香型酒中有484个色谱峰,可定性的有178个。其中,浓香型酒的342种可定性的微量成分中,酯类最多有99种,羰基化合物57种,酸类55种,含氮化合物38种,醇类36种,酚类27种,醚类14种,呋喃类化合物7种,含硫化合物6种,其它3种。但常规仪器检测出的不过60多种。因此,白酒从化学的角度上来看,其实质是乙醇、水及几百种微量成分的混合物。其中,乙醇和水占了98%左右,可称作酒中的常量成分,而微量成分仅占了2%左右。对这2%左右微量成分的分类,有非常多的方法,主要有以下几种:
1、根据这些微量成分是溶于水或溶于乙醇,可分成醇溶性微量成分和水溶性微量成分。
微量成分中大多数是醇溶性,而有些成分,如:乙酸乙酯、乳酸乙酯、丁酸乙酯等酯类,异丁醇、异戊醇、正丙醇、正丁醇等醇类,乙醛、乙缩醛、双乙酰等醛酮类及各种酸类,均既溶于乙醇,又易溶或微溶于水。而己酸乙酯和高级脂肪酸酯(包括硬脂酸乙酯、软脂酸乙酯、棕榈酸乙酯)则不溶于水,只溶于乙醇。其在酒中的溶解度,随酒度和温度的降低而有较大的下降,故会影响酒质及稳定性。
而酒中乙醇和水所占的比例不同时,又会存在了一个溶质和溶剂的问题:当乙醇的含量大于水的含量时,即酒度较高时,乙醇为溶剂,水为溶质,醇溶性的微量成分对酒口感和香气的影响占优势;而当水的含量大于乙醇的含量时,也即酒度较低时,水变成了溶剂,乙醇变成了溶质,则水溶性的微量成分对酒口感的影响又占了优势。
2、根据微量成分所包含的官能团不同,可将酒中微量成分分为10大类,见表1:
表1 白酒微量成分分类表
它们的呈香呈味功能强弱顺序大致如下:
醇基(-OH)>酮基(-CO-)>羧基(-COOH)>酯基(-COOR)>苯基(C6H5—)>氨基(—NH2)
3、按照微量成分在白酒中的绝对含量可把它们分为骨架成分和复杂成分,如图1:
图1 白酒中各微量成分比例分布图
骨架成分是指通过色谱分析含量大于1mg/100ml的成分,这些成分属于白酒常规定量分析指标,它们构成了中国白酒的骨架,所以又叫色谱骨架成分。骨架成分占微量成分的99%—95%左右,一般有25种,以浓香型白酒为例,它们是乙酸乙酯、乳酸乙酯、己酸乙酯、丁酸乙酯、戊酸乙酯、甲酸乙酯、异戊醇、正丁醇、仲丁醇、异丁醇、正丙醇、仲戊醇、正戊醇、正己醇、乙醛、乙缩醛、糠醛、2,3丁二醇、乙酸、乳酸、己酸、丁酸、丙酸、戊酸、异戊酸等。
而复杂成分是指除骨架成分之外的所有色谱分析含量小于1mg/100ml的成分,虽然它们在微量成分中所点的比例仅为1%—5%,但它们对白酒的风格典型性却起着关键性的作用。
4、按微量成分在白酒中的作用又可分为主体香成分、助香成分、定香成分、矫香成分、放香成分、前香和后香成分、特征成分、主体成分、调和成分、骨架成分等。
二、白洒中微量成分的来源
白酒中微量成分来源主要有三部分,一是来自于酿酒所采用的原料和辅料,二是来自于微生物对酿酒原料的分解和合成,三是来自于白酒在贮存过程中的物理和化学变化。
1、来自于原料和辅料中的微量成分:
白酒酿酒原料主要使用以下品种:高粱、大米、玉米、小麦、糯米、青稞、豌豆等,它们都具有各种独特的香气,含有多种易挥发的微量香气成分。经测定,小麦的挥发性成分有醛、酮、醇、酯等30多种,大麦也有65种挥发性成分被检测出。在稻谷及大米中分别检测出了73种和170种挥发性成分。在高粮、米饭中检出了甲醇、乙醇、乙醛、丁酮、乙酸乙酯、环戊酮等几十种成分,而玉米的挥发成分有:乙醛、壬醛、甲醛等几十种成分,对玉米种皮分析,检测出了56种成分。而对米糠检测分析发现含有的挥发成分在250种以上,其中170种物质已做出了鉴定。不同品种的玉米其含量又有较显著的差别。这些结果说明了各种粮食其挥发性成分组成是不同的,并且不同品种、不同产地,新粮与陈粮之间也有很大的变化差异。
因此,粮食、酒曲、辅料的质量对白酒香气的质量有很大的影响,采用粮食品种越多,从粮食中所带入酒的微量成分种类也就越多,而新粮又较陈粮中微量香气成分多。
为了防止生粮味、糠味等进入酒体,白酒生产采用蒸粮蒸糠的工艺,以排除这些杂味对酒体的影响。同时,在对粮食进行加热的过程中,由于非酶香气生成反应,会出现粮食的经受热加工处理后的香气,这是因为粮食中所含的氨基酸,例如半胱氨酸、赖氨酸、丝氨酸等受热分解出乙醛、2—甲基噻唑、吡啶类、吡嗪类化合物,这些都为白酒带来了丰富的微量成分,是白酒的香气的最初来源。
2、酿酒原料在白酒发酵中产生的微量成分:
酿酒原料主要是谷物,谷物中主要成份是淀粉、蛋白质、脂肪等,淀粉在发酵过程中首先糖化成葡萄糖。一分子葡萄糖在无氧条件下经过12步反应生成二分子乙醇和二分子二氧化碳并放出热量,但在此过程中,通过不同的酶作用,同时又会有大量的中间产物产生,即葡萄糖经过各种不同的途径又可降解成酸、酯、醛、酮等种类众多的微量成分。
谷物中的蛋白质也是酒中微量成分的重要来源,蛋白质在微生物和酶的作用下,降解成各种氨基酸,氨基酸不但可以与还原糖作用发生美拉德反应,在不同条件下,可以形成呋喃、吡嗪,吡咯等化合物,氨基酸还可以发生脱氨或脱羧反应形成许多的高级醇。例如:缬氨酸→异丁醇;亮氨酸→异戊醇;异亮氨酸→活性戊醇;酪氨酸→酪醇。这些高级醇又与有机酸作用生成各种酯、吡喃类化合物、吡咯类化合物、吡嗪类化合物、吡啶类化合物、丁香酸等,构成了白酒中微量成分的主要来源。
3、贮存过程中合成或分解的微量成分:
如果我们把酿酒原料在发酵过程中,通过微生物或酶的参与转化生成的微量成分,称为“发酵酯或发酵酸”等,那么,在升温蒸馏酒糟以获得白酒以后,新酒贮存或其它各种酒的贮存过程中,由于微生物或酶已无法存活,因而没有微生物及酶的活动,剩下的仅是物理和化学变化,那么这时生成的微量成分我们可称为“合成酯或合成酸”等,即在新酒贮存的过程中,仍在缓慢而持久地发生着各种物理或化学变化。
(1)白酒贮存过程中的物理反应:
a.乙醇分子、水分子、酸、酯、醛、酮等微量成分之间的因氢键作用而相互缔合,形成大分子缔合体。
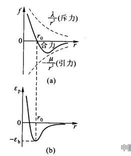
乙醇、水分子、酸、酯、醛、酮等都含有极性集团,它们都属于极性分子,相互之间都有较强的吸引力。有过酒精降度经验的人都可能有这样的发现,当把量筒中的高度酒精和水混合时,量筒壁有明显的发热现象,这是因为乙醇分子和水分子之间所缔合形成的氢键,比乙醇和乙醇分子之间缔合成的氢键所需能量更小而更稳定,从而快速形成乙醇水化物,而把多余的能量释放出来,转换成热量,这也是能量守恒定律的体现,是一个快速释放能量的过程,但在随后的贮存过程中,还有一个缓慢能量释放的过程,即:新酒刚开始贮存时,新酒中的各种微量成分的分子位能很高,以很高的速度不停地做着无规则运动,故分子之间总是不断地碰撞接触,当分子间相距较远时,分子间通常表现为引力,当分子相距极近时,由于电子云之间以及原子核之间的互相排斥,他们之间的相互作用力是斥力,并且这种斥力随着分子间距减少而很快增大。当它们之间的距离小到某一程度,斥力变得很大,分子就要改变原来的方向而相互远离,当那些相对平动能在分子连心线上的分量超过某一临界值的分子,则会把平动能转化为分子内部的能量,使高能的不稳定的旧健破裂而发生重新组合,从而形成新的更稳定,能量降低的新键,分子之间的斥力和引力在分子运动的过程中逐渐达到平衡,位能逐渐趋于零,使酒体由暴辣逐渐变得绵柔。如图2,分子间的引力、斥力和合力:

图2 (a)分子间的引力、斥力、合力及势能; (b)分子间的位能曲线
b.水分子对乙醇分子之间空隙的填充作用而导致的体积变化。
乙醇的分子量是46,而水的分子量是18,乙醇分子是由乙基和羟基两部分组成,可以看成是乙烷分子中的一个氢原子被羟基取代的产物,也可以看成是水分子中的一个氢原子被乙基取代的产物。水分子的运动直径为0.265nm(25℃),体积为5.48×10-3 nm3,而乙醇分子的运动直径为0.46nm(25℃),体积为20×10-3 nm3,因此乙醇分子体积是水分子的4倍左右,当乙醇与水混合时,就如同在一杯黄豆中倒入了芝麻,发生小分子水填进了大分子乙醇之间空隙的现象,使得50ml的水与50ml的乙醇混合时,总体积并不是100ml,而是只有97ml左右。不同比例的乙醇和水混合成100升乙醇溶液,所需的乙醇和水的升数及缩小量如下表2:
乙醇和水混合体积变化表
表2 单位:升
|
乙醇 |
0 |
10 |
20 |
30 |
40 |
50 |
60 |
70 |
80 |
90 |
100 |
|
水 |
100 |
90.74 |
81.72 |
72.67 |
63.35 |
53.65 |
43.68 |
33.36 |
22.83 |
11.91 |
0.00 |
|
体积缩小量 |
0.00 |
0.74 |
1.72 |
2.67 |
3.35 |
3.65 |
3.68 |
33.36 |
2.83 |
1.91 |
0.00 |
而当53.94升的乙醇和46.83升的水混合时达到体积缩小的最大值为3.77升,这时酒度在53度—55度。缔合度越大,酒精分子的自由度越小,酒的柔和度则增强。
c.贮存过程中的挥发作用产生的变化。
刚蒸馏出来的白酒,含有较多的低沸点成分,如硫化氢、硫醇、硫迷、丙烯醛、游离氨等,使白酒带有强烈的新酒臭和刺激感,但由于乙醇分子之间或与水分子之间的氢键作用,使它的沸点比和它分子量相近的烷烃类要高得多。例如:乙醇(分子量是46)的沸点为78.3℃,而丙烷(分子量为44)的沸点为-42℃,所以在自然老熟贮存过程中,低沸点物质分子不断扩散和挥发,从而使白酒的新酒臭味和刺激性减弱,且随着温度的升高,挥发作用加快,一段时间后,使酒体变得成熟、柔和。一些微量成分的沸点如下表3:
表3 微量成分沸点表 单位:℃
|
名称 |
甲醇 |
正丙醇 |
水 |
硫化氢 |
甲硫醇 |
乙硫醇 |
丙烷 |
乳酸 |
乙酸乙酯 |
己酸乙酯 |
|
沸点(℃) |
64.5 |
97.2 |
100 |
-61 |
6 |
37 |
-42 |
122 |
77.1 |
167 |
|
名称 |
乙醇 |
异丁醇 |
乙醛 |
异戊醇 |
乙缩醛 |
糠醛 |
文章来源华夏酒报
乙酸 |
己酸 |
乳酸乙酯 |
β-苯乙醇 |
|
沸点(℃) |
78 |
107.9 |
21 |
132 |
102 |
162 |
118.1 |
205 |
154 |
220 |
(2)白酒自然老熟过程中微量成分的化学变化
白酒中因含有数百种不同种类的微量成分,这些物质在白酒的自然老熟贮存过程中,一直不停地发生着一系列的化学变化,主要有氧化还原反应、酯化反应、缩合反应等。
a. 白酒老熟过程中的氧化还原反应:
白酒中的氧化反应主要是由于空气中的氧不断溶入酒中,酒中的各微量成分与这些溶解氧缓慢而持续发生着一系列的氧化反应:
醇氧化成醛的反应:![]()
醛氧化成酸的反应:
硫醇氧化为二硫化物的反应:
新酒中臭味物质经氧化生成了无臭或香味物质,如硫醇氧化成二硫化物,虽也是低沸点物质,但其化学性质稳定,且臭味减轻,因此,酒的老熟与白酒中大量复杂的氧化反应有很大关系,许多的人工老熟技术如:增氧、超声波、X-射线或微波等处理方法,也都是为了促进氧化作用,在微量氧化条件下缓慢氧化,使酒中产生了许多新的微量物质,一定程度地增加了香味,但氧化也是有限度的,若采取激烈手段氧化过了头,或者长时间贮存超过了限度,不但不能提高质量,相反会降低质量。
b.白酒老熟过程中的酯化反应:
白酒中的有机酸与乙醇等能发生酯化反应,酯化反应是一个平衡反应,与白酒中酯、醇和水的浓度有关,白酒中有机酸对酯化反应还有一定自催化功能,且随着温度升高而加速。
白酒中有多少类有机羧酸,它们与乙醇等反应就要生成多少类的酯,反应式如下 :
白酒酯化反应较氧化反应更加缓慢,因酯化反应使酯类物质种类和含量增多,使白酒香气增加;对贮存过程中酒度的下降除了乙醇挥发的因素外,酯化反应也是一个不可忽视的因素。白酒中酸含量越高,酯化反应越易进行。
但白酒酯化反应的同时,也进行着酯的水解反应,对高度酒,酯化反应更强一些,而对低度酒,水解反应更胜一筹。通过对新疆伊力特公司高度酒贮存的不间断分析,可以发现,在前10年,总酯有缓慢升高,但对四大酯的检验发现含量却不同程度降低,这表明各种复杂酯的增多使总酯含量上升,而四大酯的水解速度却更快一些,使含量有所降低。但这对白酒的品质和风味却产生了很大的影响,使香气更加协调、陈香突出,所以存放越久的酒香气增浓,但低度酒长时间贮存因水解作用却使口味变得淡薄,所以低度酒不益长时间贮存。
c.白酒老熟过程中的缩合反应:
醇与醛成某些缩醛,可减轻白酒的辛辣味,反应式如下:
同时,醛亦可发生自聚反应,生成聚多醛,如乙醛相互之间可生成三聚乙醛,而产生一种新的带愉快香气的成分:
新酒中乙醛含量较高,也是构成新酒辣味的主要成分之一,经过贮存老熟,可聚合一部分醛类,使辛辣味降低。
三、提高白酒中微量成分的种类和数量的措施:
白酒是一个复杂体系,白酒中所含有的微量成分种类和数量的多少可以用白酒的“复杂强度”来表示,简称“复杂度”。复杂度的强弱对酒的质量和风格产生着根本性的影响,复杂度的提高不仅仅使酒的质量得以大幅度提高,而且使酒的风格和典型性更加突出,因此,通过对白酒中微量成分的认识,根据白酒中微量成分的来源和途径,在生产和贮存过程中,不断提高白酒的复杂度,是提高白酒质量和风格的有效措施。
1、从原料入手:
产生酒香味的微量成分的来源十分复杂、种类繁多,但微量成分最初来源于酿酒所用的原料,因此,原料质量的好坏和种类的多少是白酒香气浓郁与否的基础。不同原料产出的白酒,在风味上差别很大,就是相同的粮食因品种、产地不同,其产品质量与出酒率也大不相同。一般酿酒原料多采用高粱、玉米、大米、糯米、小麦、碗豆等,实践证明:“高粱产酒香、玉米产酒甜、大米产酒净、糯米产酒绵、小麦产酒糙”。因此,酿酒所用粮食最好是多种粮食,并要求其新鲜,无霉变、无虫蛀、无杂质,淀粉或糖分含量较高,含蛋白质适量,脂肪含量极少,单宁含量适当,并含有多种维生素及无机元素,果胶质含量应极少,不得含有过多的有害物质,如含氰化合物、蕃薯酮、龙葵苷、黄曲霉素等,这样可尽可能多地赋予酒体更多的微量成分,并能吸取多种粮食的特点,利用粮食间营养互补、作用互补,也有利于发酵的进行。
2、从发酵入手:
由于发酵前期10天—30天主要是糖化发酵产酒阶段,30天后主要是缓慢的酸醇酯化阶段,所以发酵期要长。其实质是延长发酵糟醅与窖泥的接触时间,使有机酸及醇类再经过较长时间缓慢的发酵和酯化,使酒的微量成分含量大幅增多。在对浓香型白酒长期的生产实践中发现:“发酵所产生的己酸乙酯含量越高,则基酒质量及口感越好”,而一口窖池窖内糟醅的己酸乙酯生成量是窖边糟高于窖中糟,下层糟又高于中层糟,中层糟又高于上层糟,所以发酵期越长的酒质量也越好,原酒的口感好、醇甜、己酸乙酯的主体香突出。但发酵期过长,也会造成损耗过大,而造成斤酒成本过高。
3、从蒸馏入手:
根据拉乌尔定律,低沸点的组分在汽相中的含量总比液相中高。当含有两种成分的混合液沸腾时,某组分的蒸汽中的含量A与在溶液中的含量B之比即A/B=K为其挥发系数。微量成分的挥发系数与乙醇的挥发系数之比,若大于1时,表示其较乙醇易挥发;而小于1时,则比乙醇难挥发,但并不是低于乙醇的挥发系数就不会被蒸馏出来,在蒸馏的过程中,乙醇蒸汽在甑内上升的过程中有一个浓缩和提带作用,从而将一些难挥发的大分子物质夹带着进入酒中,所以要提高酒中微量成分的数量和浓度,要充分利用蒸馏时浓缩和夹带作用,故蒸馏时的开汽原则应为:“缓气蒸馏、大汽追尾”。即在装甑的两头,汽应稍小点,装甑中间阶段,开汽量应较大,装甑时要求以“松、轻、准、薄、匀、平”六字为原则,可“见湿盖料”;在蒸馏过程中用汽要缓,接酒温度以30℃为宜,过高不但不利于酒精在甑内最大限度地浓缩,而且会散失过多所需的微量香味成分,影响了出酒率和酒质;但温度过低,无法挥发掉硫化氢、丙烷等低沸点辣味物质和杂质,并真正做到“量质摘酒”,严格各馏分的分级制度,将以酯定级改为以口感为主的验收方式,保证的入库酒质量。
4、从组合勾兑入手:
组合勾兑是提高酒中微量成分复杂度的一个重要途径,就同一个工厂基酒而言,调味酒的复杂度要高于普通基酒的复杂度;已储存成熟的老酒的复杂度要高于未成熟酒的复杂度。不同发酵期所产的酒之间的复杂度不相同,不同季节所产的酒的复杂度也不相同。当酿酒工艺相同、地域不同时,微生物所在的大环境不同,微生物群落的组成及相互关系也就不一样,微量成分的复杂度差别就更大。因此,他们之间的相互组合勾兑,就大大增加了微量成分的种类和含量,提高复杂度。所以,将不同时期的酒相互组合,将不同发酵期的酒相互组合,特别是挑选那些符合本厂风味特点的不同地域的酒,与本厂的半成品酒之间进行组合勾兑,实现优势互补,是提高本厂产品复杂度的一个重要有效的方法。
5、从储存入手:
白酒要经过一定时间的贮存,才能保证各类成分间的相互作用而产生新的物质,并达到稳定的平衡状态,才能保证其质量的提高。但过长时间的储存会使挥发损耗增大,酒度降低,酒味变淡。而且,长时间的贮存将占用大量的容器和资金,增加白酒的生产成本。另外,白酒降度贮存,如果贮存后再加水调整酒度,则失去贮存后已达成的平衡、协调状态,使酒味又重新呈现燥辣感的新酒特征。因此,应根据实际情况,对不同酒基采取不同的储存方式:
(1) 对高档调味酒,应选用室内陶坛、陶缸密封贮存,有条件的还可将陶坛、陶缸培土贮存,并能冬季供暖、夏季通风,以控制室内温度在20℃,相对温度在65%左右,陶坛、陶缸应壁厚坚固,无毒、无渗漏,缸口可用特制的附棉层瓷盖密封,且容器不要装得太满,以免温度波动造成酒液的外溢,再者,白酒贮存也需要一定的液空比,以保证酒的气相平衡,有利于低沸点物质如甲醇、硫化物、丙烯醛等逸出,对减少新酒暴冲有利,但空隙也不宜太大,以防过多的氧使酒变质。陶坛、陶缸对白酒的老熟具有三大作用:氧化作用、吸附作用、催化作用,陶坛、陶缸是在750℃左右用粘土烧结而成,其中的有机物被烧掉,气体被排除,因而形成了许多大小不一的孔隙,正是由于这各孔隙具有网状结构和极大的表面积,使陶坛、陶缸具有氧化作用和吸附作用,将醛等氧化成酸,并吸附掉酒中的异杂味,加速了白酒的老熟。同时,陶坛、陶缸中本身存在着Ni2+,Ti4+,Cu2+,Fe2+等金属离子,对酒中的酯化反应、缩合反应等反应有催化作用,可加速这些反应的进行,促进酒的老熟。为了能充分利用陶坛、陶缸促进老熟的作用,每个周期贮存结束后,不应立即再次装酒,而应打开缸盖,通过通风干燥一段时间以进行自然活化,恢复其氧化吸附能力,以提高贮酒效果。
(2)对普通调味酒、基酒和成品酒可采用库内或露天大罐存放,以不锈钢罐为好,并对露天罐搭建防晒棚或网,夏季喷淋降温,冬季加覆保温层。采用库内或露天大罐储酒的优点是:a.可减少贮酒损耗,据测算,陶坛贮酒的年损耗平均为:6.39%,而大罐贮酒的年损耗平均仅为1.15%;b.能极大地节约酒库面积,以50吨不锈钢大罐计,可比陶坛节省地面积约80%—90%;c.便于勾兑,保持产品质量稳定,大罐贮存不但降低劳动强度,而且便于测量、勾兑和调味,并可减少批次间差异,保质产品质量稳定。
总之,通过对白酒生产过程中各种对微量成分产生的各种因素进行有目的调控,来调节白酒中相关微量成分的生成,从而达到稳定和提高白酒风味质量的目的,是企业发展和提高产品质量的一个重要途径。